https://doi.org/10.1140/epjb/s10051-026-01148-9
Research - Condensed Matter
Self-sustained acoustoelectric oscillations in fluorine-doped carbon nanotubes under strong electric fields
1
Department of Physics, College of Basic and Applied Sciences, University of Ghana, PMB, Accra, Ghana
2
Department of Physics, College of Agriculture and Natural Sciences, University of Cape Coast, PMB, Cape Coast, Ghana
3
Centre for Quantum Transport in Advanced Materials, University of Ghana, PMB, Accra, Ghana
4
Department of Physics, Pennsylvania State University-Altoona College, 16601, Altoona, PA, USA
5
Materials Research Institute, Pennsylvania State University, 16802, University Park, PA, USA
a This email address is being protected from spambots. You need JavaScript enabled to view it.
, This email address is being protected from spambots. You need JavaScript enabled to view it.
Received:
12
November
2025
Accepted:
18
February
2026
Published online:
11
March
2026
Abstract
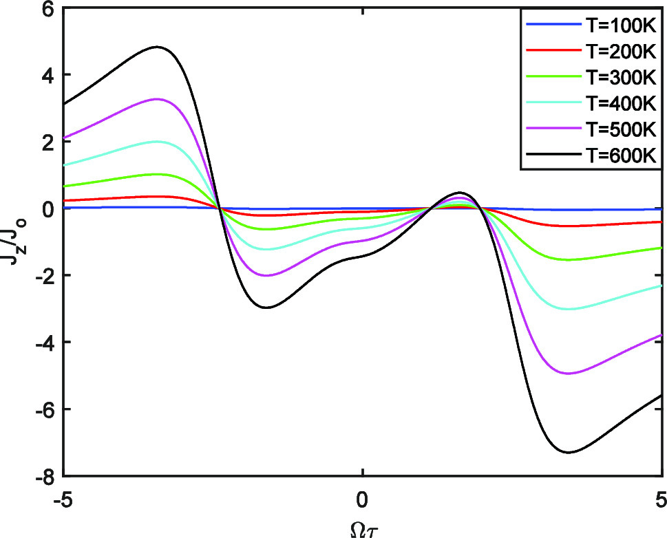
Herein, we report on self-sustaining acoustoelectric direct current oscillations in fluorine-doped single-walled carbon nanotubes stimulated by a strong internal electric field. The study is carried out in the hypersound regime, where carrier transport is confined to the lowest electronic miniband, leading to enhanced nonlinear and non-monotonic acoustoelectric current response. The carrier dynamics predicted by the model are consistent with experimentally observed oscillatory acoustoelectric current in a graphene-based acoustoelectric switch. The oscillatory behavior is shown to originate from spatial charge instabilities and field-induced Bloch-like carrier dynamics, occurring in the absence of an external resonator. The resulting non-uniform space-charge distribution, together with Bloch-reflected carrier motion, is identified as the dominant mechanism responsible for terahertz radiation generation. In addition, the dynamic interplay between acoustic phonons and charge carriers suggests the possibility of suppressing electric domain formation and realizing acoustic Bloch gain. These results demonstrate that fluorine-doped single-walled carbon nanotubes can operate efficiently at elevated temperatures and are promising candidates for high-frequency electronic and optoelectronic applications extending into the submillimeter-wave regime.
Copyright comment Springer Nature or its licensor (e.g. a society or other partner) holds exclusive rights to this article under a publishing agreement with the author(s) or other rightsholder(s); author self-archiving of the accepted manuscript version of this article is solely governed by the terms of such publishing agreement and applicable law.
© The Author(s), under exclusive licence to EDP Sciences, SIF and Springer-Verlag GmbH Germany, part of Springer Nature 2026
Springer Nature or its licensor (e.g. a society or other partner) holds exclusive rights to this article under a publishing agreement with the author(s) or other rightsholder(s); author self-archiving of the accepted manuscript version of this article is solely governed by the terms of such publishing agreement and applicable law.

